Hoe zwaar moeten anker, ankerketting en tros zijn? Met dit handige overzicht bepaal je dat in een handomdraai.
1. Bereken eerst het ankergetal met behulp van onderstaande formule:
Ankergetal = lengte over alles + breedte + 1/2 x masthoogte + 1/3 x bezaanmasthoogte.
(De waterverplaatsing speelt ook mee, vooral op stromend water)
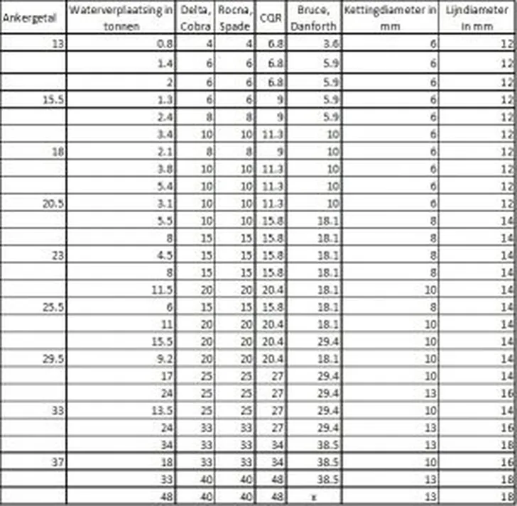
2. Zoek nu met de onderstaande tabel bij het berekende ankergetal het juiste ankergewicht, ketting en lijn:
:max_bytes(70000)/https%3A%2F%2Fwww.zeilen.nl%2Fapp%2Fuploads%2F2017%2F04%2FTabel-ankergetal-300x294.jpg)
(Kies bij twijfel liever een stap zwaarder)
Tekst: Anje Valk
Met dank aan Dick Koopmans sr.